إعـــــــلان

تقليص
لا يوجد إعلان حتى الآن.

Landmapper ERM3 (شروحات للجهاز)

تقليص
X
 
  • تصفية - فلترة
  • الوقت
  • عرض
إلغاء تحديد الكل
مشاركات جديدة

  • #31
    ان شاء الله

    تعليق


    • #32
      السلام عليكم ورحمة الله تعالى وبركاته...
      قبل الحصول على نتائج ميدانية ينبعي محاكاة بيانات ميدانية أخرى جيولوجية في نفس المنطقة، مثلا أبار مفتوحة لتتحصل على معلومات كارتيستية للفراغ، ومن بعدها اختيار قيمة المقاومة للفراغ، مثلا قيمة مقاومة 10000 اوم/م هي قيمة فراغ مليء بالهواء في وسط جيري مقاومته 5000 أوم/م
      من الأحسن طبعا أن تفحص بتباعد الأقطاب 1متر و3متر و5متر إن كان الجهاز يسمح بذلك ومقارنة نتائج التصوير للنماذج الثلاث، فحتما الإنعكاسات الناتجة من هاته النماذج تعطيك صورا عالية الدقة نسبيا لتماثل هندسيات المناطق الشاذة (resistivity anomalous areas) مثل الفراغ المعروف...
      الفراغ المردوم يعطيك إستجابة متداخلة مع استجابة الوسط (في المثال السابق وسط جيري) ويصبح تمييزه أكثر صعوبة.
      بعد المحاكاة على فراغ معروف في المنطقة تتكون لديك فكرة عامة عن البيئة (التضاريس الجيولوجية) وتستطيع الكشف عن المكان المراد فحصه.
      في هذا المثال تظهر استجابة الفراغ ، طريقة فحص ( Schlumbereger )، في الجزء العلوي من الشكل. وتظهر صورة المقاومة للرد المقلوب (Inversion) في الجزء السفلي من نفس الشكل.
      اضغط على الصورة لعرض أكبر. 

الإسم:	im01.JPG 
مشاهدات:	1 
الحجم:	39.4 كيلوبايت 
الهوية:	751383
      بالنسبة لمثالك الذي وضعته أنت (تباعد أقطاب 1 متر) إذا كانت عندك فكرة مسبقة عن إستجابة الفراغ في هذه المنطقة، فستحلل بنفسك امكانية وجوده من عدمه، لذلك قلت لك سابقا أن وجب عليك معرفة التضاريس الجيولوجية لمكان الفحص وإذا لم يكن عندك هذه المعلومة فحاول أن تحاكي بيانات منطقة معروفة ببيانات المنطقة المراد فحصها، لكن على حسب خبرتي فلا يوجد أي شئ أستطيع به الجزم بوجود فراغ طبيعي أو إصطناعي، لو لاحظت جيدا إستجابة المنطقة قبل وبعد تساقط الأمطار لاستنتجت أنه لا يوجد شئ يوحي بذلك من خلال مقارنتك بالخرائط... والله أعلم
      شكرا....

      تعليق


      • #33
        والله بالنسبه لي تقريبا كلامك لسان حاله يقول الجهاز بده عالم مش باحث عن دفائن وفراغات ,, شكرا الك على كل حال عارف ماقصرت لكن الموضوع انا قرات كثييير وفحصت كثيير وجربت كثير ماقدرت الم بكل موضوعه ،،، يعني عندي جدول جاهز من الشركه بفحص ديابلو ديابلو وياخذ خمس ساعات الفحص حتى التجارب متعبه بالنسبه لي لانه الاوتاد نحتاج منطقه ترابيه لغرسها ،،، المهم يعني حاليا لو جبت اجرب على طرق فحص اخرى مثل ( وينر او بولي او ،،،) ما قدرت اعرف كيف افحص عليها ولا اليه فحصها ولا عرفت كيف اغرس الاوتاد ولاعرفت كيف اخذ القياس ،والقيم الي تطلع معي شو العمل معها ،،لانه المتوفر عندي فقط ديابلو وهذا الي اجا من لاريسا وهذا الي تدربت عليه من خلال التجارب استغربت بس بعض اشياء بغض النظر عن قيمه الفخص ،، مثلا في صور بالي نزلتها سابقا يوجد جسم عرضه ٣ متر وارتفاعه مترين وطوله ٣ متر وعلى عمق خمسه متر ،،، هل يوجد بالطبيعه جسم محدد مثله ،، حاول احفر هالمكان لاقتني ارض طبيعيه ،،،، الشي الغريب الاخر قيمه الفراغات المغتوحه والهواء داخلها اقل قيمه مقاومه ،، يعني ازرق فااااتح وسابحث لك عن صورة توضح لك سرداب مفتوح او بالاحرى سرداب تجارب انا عامله ،،،، الكلام كثير ومخربط وصرت اشك بقدرات الجهاز او قدراتي اني افحص عليه مع انه شركته تدعي سهولة استخدامه

        تعليق


        • #34
          المشاركة الأصلية بواسطة ابوكاليبس مشاهدة المشاركة
          والله بالنسبه لي تقريبا كلامك لسان حاله يقول الجهاز بده عالم مش باحث عن دفائن وفراغات ,, شكرا الك على كل حال عارف ماقصرت لكن الموضوع انا قرات كثييير وفحصت كثيير وجربت كثير ماقدرت الم بكل موضوعه ،،، يعني عندي جدول جاهز من الشركه بفحص ديابلو ديابلو وياخذ خمس ساعات الفحص حتى التجارب متعبه بالنسبه لي لانه الاوتاد نحتاج منطقه ترابيه لغرسها ،،، المهم يعني حاليا لو جبت اجرب على طرق فحص اخرى مثل ( وينر او بولي او ،،،) ما قدرت اعرف كيف افحص عليها ولا اليه فحصها ولا عرفت كيف اغرس الاوتاد ولاعرفت كيف اخذ القياس ،والقيم الي تطلع معي شو العمل معها ،،لانه المتوفر عندي فقط ديابلو وهذا الي اجا من لاريسا وهذا الي تدربت عليه من خلال التجارب استغربت بس بعض اشياء بغض النظر عن قيمه الفخص ،، مثلا في صور بالي نزلتها سابقا يوجد جسم عرضه ٣ متر وارتفاعه مترين وطوله ٣ متر وعلى عمق خمسه متر ،،، هل يوجد بالطبيعه جسم محدد مثله ،، حاول احفر هالمكان لاقتني ارض طبيعيه ،،،، الشي الغريب الاخر قيمه الفراغات المغتوحه والهواء داخلها اقل قيمه مقاومه ،، يعني ازرق فااااتح وسابحث لك عن صورة توضح لك سرداب مفتوح او بالاحرى سرداب تجارب انا عامله ،،،، الكلام كثير ومخربط وصرت اشك بقدرات الجهاز او قدراتي اني افحص عليه مع انه شركته تدعي سهولة استخدامه
          أخي الكريم ما معنى هذا الكلام؟ (والله بالنسبه لي تقريبا كلامك لسان حاله)...؟؟؟
          لقد قلت لك بالمختصر المفيد لا يوجد شئ مهم في منطقتك فحصك.

          تعليق


          • #35
            أنت تركز فقط على الألوان، وهذا خطأ، قد تكون مقاومة جسم المراد البحث عنه بالنسبة للمحيط او البيئة الموجود بداخلها متقاربا أو أقل منها، أنت تريد من هذا الجهاز بعد العمل عليه أن يقول لك هذا فراغ وهذا جسم معدني بدون أي معلومات مسبقة للمكونات الجيولوجية وهذا أمر مستحيل.

            تعليق


            • #36
              لا تفكر فيها اهانه او شي ،،، القصد انه الشرح الي انت شرحته وافي وشافي ما قصرت لكن الي انا فهمته واستوعبته انه الجهاز بس عالم جيولوجي مثلا مش باحث عادي ومش سهل الجهاز مثل ما كنت متخيل وفاهم

              تعليق


              • #37
                لا بالعكس انا تركيزي على قيمه اللون بالنسبه للمنطقه الي افحص فيها وطول خط الفحص يعني ممكن ردم معروف لي يكون لونه اخضر على فحص ٢٠ متر وعلى فحص ٤٠ متر يصير لونه اصفر ،،، انا عارف انه التركيز على قيمه اللون ،،،، والصور مش ضروري يكون فيها شي لانه ممكن فحصي كان خطا فيها فهمت القصد لكن ثواني واضيف صور اخرى توضح الدمار النفسي الي انا فيه وتوضح القهر والضياع الي انا واقع فيه ،،بس اوصل الاب توب احملهم ،،، وصراحه الواحد ماهو حاب يزعج واحد ويكثر اساله لكن مرت سنه على التجارب وتعبني الموضوع

                تعليق


                • #38
                  سوال اخير لاحياء الامل انه الجهاز نافع بس ،،،،، في طريقه فحص للفراغات غير ديبالو ديابلو وما تاخذ اربع وخمس ساعات مثل ديابلو وكيف افحص وشو اعمل بالقيم الي افحصها وبالنسبه للاعماق ما اتوقع اساسا نحتاج اكثر من عشرة متر لمن الغلبه ديابلو والوقت الي يحتاجه

                  تعليق


                  • #39
                    المشاركة الأصلية بواسطة ابوكاليبس مشاهدة المشاركة
                    لا تفكر فيها اهانه او شي ،،، القصد انه الشرح الي انت شرحته وافي وشافي ما قصرت لكن الي انا فهمته واستوعبته انه الجهاز بس عالم جيولوجي مثلا مش باحث عادي ومش سهل الجهاز مثل ما كنت متخيل وفاهم
                    أخي الكريم كل الأجهزة الجيوفيزيائية هكذا معقدة، في بعض الأحيان نحتاج إلى جهازين إثنين بطريقة مختلفتين (مثلا جهاز مقاومة وجهاز قياس المغناطيسية) لمقارنة المعطيات ثم الجزم النهائي.
                    طريقة ديبول صحيح أنها تعطيك عمق كبير لكن لا تعطيك دقة مثل طريقة
                    Schlumbereger، والتي بدورها لا تعطيك عمق كبير، تحليل البيانات ليس بالأمر السهل، ولا الممتنع أيضا، لكن وجب عليك معرفة التضاريس الجيولوجية للمنطقة المراد فحصها، مثلا أنت تريد البحث عن فراغ، إفحص منطقة فيها فراغ معروف، لتتكون لديك فكرة عن التماثيل الهندسية والمقاومية ومن ثم إفحص المنطقة المراد العمل عليها، أنا متأكد بعدها أنك تستطيع بنفسك تحديد الفراغ بدون عناء حتى الأجسام المعدنية، هذه طريقة سهلة (صحيح أنها متعبة قليلا) لكن أنا أعلم أنها مجدية. قد تجد نفس الفراغ في منطقة أخرى لكن ليست بنفس الخصائص الجيوفزيائية في منطقة أخرى.
                    وفقك الله.
                    شكرا...

                    تعليق


                    • #40
                      انا استوعبتك الفكرة وتعبتك معي حتى النسخه erm 3 فيها مقاومه وموصليه وكمان شغله نسيتها ،،، وارجع لمشكله فحصSchlumbereger ما اعرف عنه شي ولاطريقه فحصه ولو عرفت طريقه فحص ما اعرف ما العمل مع القيم على كل حال بكلم لاريسا اشوف شو عندها بخصوص هالموضوع

                      تعليق


                      • #41
                        للاسف ما لقيت صوة الفراغ الي عندي الفراغ مفتوح وسرداب عرضي وكانت قيمه بجدولres2ed حوالي 20 ...
                        اضرب لك مثال اخر على الخربطه هالصوره هاي لفحص خطين بينهم حوالي خمسه متر فقط وتقريبا نفس طبيعه الارض لكن اختلافق مكات واحد بالمنتصف
                        يعني الفحص كان خطين متوازيين بينهم خمسه متر

                        تعليق


                        • #42
                          طريقة الفحص Schlumberger :
                          اضغط على الصورة لعرض أكبر. 

الإسم:	im01.JPG 
مشاهدات:	1 
الحجم:	21.6 كيلوبايت 
الهوية:	751388
                          نقوم بغرس إلكترودات A,B,M,N في الأرض، مع مراعاة أن تكون المسافة بين A و M (AM) هي نفسها بين N و B (NB)
                          أي:
                          AM=NB
                          وفي كل مرة نحقن التيار في الإلكترود A و B ونحسب الفرق في الكمون بين M و N دالتا VV) ∆)
                          بعد أخذ القياس نغير النقاط A و B
                          اضغط على الصورة لعرض أكبر. 

الإسم:	im02.JPG 
مشاهدات:	1 
الحجم:	20.4 كيلوبايت 
الهوية:	751389
                          ونقيس مرة أخرى الفرق في الكمون على مستوى النقاط MN، مع مراعاة دائما أن المسافة AM=NB
                          وهكذا دواليك في كل مرة نوسع النقاط A و B مع محافظة المسافة AM=NB
                          ونقيس الفرق في الكمون على مستوى النقاط M و N
                          عندما نكمل نتحصل نملئ الجدول التالي:
                          اضغط على الصورة لعرض أكبر. 

الإسم:	im03.JPG 
مشاهدات:	1 
الحجم:	37.1 كيلوبايت 
الهوية:	751390
                          : حاصل قسمة المسافة بين النقاط A و B على 2
                          MN/2: حاصل قسمة المسافة بين النقاط M و N على 2
                          V∆: قيمة الفرق في الكمون التي قسناها على مستوى النقاطM و N مقدرة بالفولط
                          I(A): شدة التيار الكهربائي التي حقنا بها الإلكترودات A و B مقدرة بالآمبير.
                          كل المعطيات السابقة نعرف قيمها بالضبط.
                          الآن ينبغي علينا حساب المعامل الجيومتري K لكي نستطيع حساب المقاومية ρ

                          اضغط على الصورة لعرض أكبر. 

الإسم:	im04.JPG 
مشاهدات:	1 
الحجم:	14.1 كيلوبايت 
الهوية:	751391

                          إذن بعد حساب المعامل K لكل المسافات AB/2
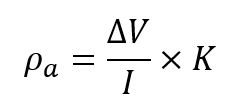
                          علينا الأن أن نحسب المقاومية الظاهرية ρ (رو)
                          بالمعادلة التالية : المقاومية الظاهرية = (الفرق في الكمون/شدة التيار)* المعامل K

                          اضغط على الصورة لعرض أكبر. 

الإسم:	im05.JPG 
مشاهدات:	1 
الحجم:	10.3 كيلوبايت 
الهوية:	751392

                          ملاحظة: هذه المعادلة صالحة فقط في طريقة الفحص Schlumberger

                          قد يقول البعض لماذا نضرب في المعامل الجيومتري K ؟
                          لأن المقاومية تختلف على المقاومة، لكي نحافظ على نفس المقاومية في جميع أنحاء الطبقة
                          عندما نقول أن الطبقة الجيرية عندها مقاومية مثلا 10000أوم/متر، فينبغي أن تكون هذه المقاومية سمة من سمات هذه الطبقة ككلها لاغير مهما كان حجمها سواء كانت حجرة جيرية صغيرة أو طبقة بأكملها... ولذلك قلت مقاومية وليس مقاومة لأن المقاومة لها علاقة مباشرة بأبعاد الجسم مثل السمك والطول والعرض مثلا....

                          تعليق


                          • #43
                            إذا أردنا أن نرسم المخطط البياني بأنفسنا علينا بوضع المعلم س/ع
                            المعلم س: نضع فيه القمة AB/2 والمعلم ع نضع فيه قيم المقاومية
                            شكرا...

                            تعليق


                            • #44
                              شكرا على تعبك معي ،، اناةتقريبا فهمت مجمل الكلام ، بس عندي استفسار لما اشبك ab. mn بالجهاز رح اخذ قياس وتطلع امامي قيمه مثلا 0.1. هاي القيمه الي تطلع مش هي بالاساس مضروبه في k ? والا اخذ القيمه الي تطلع معي واضربها بالمعادله الي انت وضحتها

                              تعليق


                              • #45
                                المشاركة الأصلية بواسطة ابوكاليبس مشاهدة المشاركة
                                للاسف ما لقيت صوة الفراغ الي عندي الفراغ مفتوح وسرداب عرضي وكانت قيمه بجدولres2ed حوالي 20 ...
                                اضرب لك مثال اخر على الخربطه هالصوره هاي لفحص خطين بينهم حوالي خمسه متر فقط وتقريبا نفس طبيعه الارض لكن اختلافق مكات واحد بالمنتصف
                                يعني الفحص كان خطين متوازيين بينهم خمسه متر
                                شفت هالمثال الي قلت الك عنه امس ،، نفس المكان ونفس الارض وخطين بينهم خمسه متر لكن يوجد منظر غريب بالمنتصف هذا الي خلاني انزل الموضوع

                                تعليق

                                يعمل...
                                X